9.21數學大檢驗
5.設f(x) =x +2xn-1被x2-3x +2除之餘式為ax+b﹐則
_____答案給3/2_______
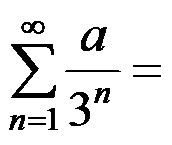
問題:我的計算中.......
.jpg)
我最後算出來的答案是:(2n-1)/2
問題:1.我的計算中哪裡錯了?! (為什麼算不出漂 亮的3/2呢?!)
2.【延伸......】像這類題目中有n的題目,要怎麼 知道最後表示答案時,不能用『帶有n』的數 來表示答案呢?! (這樣我 算出來之後,就能明確知道自己算錯了....)
請老師詳細解釋!!
(如果老師不要用打字的話,請老師的字寫大一點、漂亮一點.......感激萬分><....)
謝謝。