帳號
密碼
記住我 忘記密碼
高中解題老師班表
國中解題老師班表
 
Image 劉宜甄
蔡梵志
黃欣育
more...
廖子萱
林采晨
陳顥文
more...
許任佑
Image 林亭如
Image 施宛妤
more...
 
搜尋
 
portrait portrait
portrait portrait
KAC10112001    高中 / 數學    二次曲線
2014/06/22 13:57
問題  
主題 : 二次曲線 題目難易度: 容易
出處 : 學測

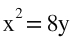
坐標平面上給定點A ( 9/4 , 2 ) , 直線L : y = -5 與拋物線 , 以d(P,L) 表示點P到直線L的距離.若點P在拋物線上變動, 則 | d(P,L) -  | 之最大值為何?                         謝謝老師

(原作者於 2014/06/22 06:47 重新編輯過)
已解答
分享
訂閱
登入後方能觀看解答
使用手冊
QQ100 chienhui CYJEN
Ting 余珮璇 柯穎志
侯進坤 陳少凱 林玠鴻
more...